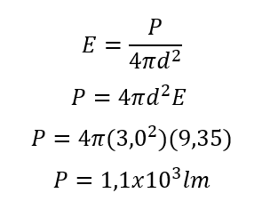
اذا احتاج الضوء الصادر عن الشمس الى 8 0





Myfgtkzfl2gp M

Myfgtkzfl2gp M

اذا احتاج الضوء الصادر عن الشمس إلى 8 0 Min للوصول إلى الأرض ادعمني دوت كوم

اذا احتاج الضوء الصادر عن الشمس إلى 8 0 Min للوصول إلى الأرض ادعمني دوت كوم

اختبار مقنن على الفصل الأول أساسيات الضوء ص 39 المصدر السعودي

اختبار مقنن على الفصل الأول أساسيات الضوء ص 39 المصدر السعودي

حل أسئلة اختبار مقنن الفصل الأول أساسيات الضوء العلم نور

حل أسئلة اختبار مقنن الفصل الأول أساسيات الضوء العلم نور

حل أسئلة اختبار مقنن الفصل الأول أساسيات الضوء العلم نور

حل أسئلة اختبار مقنن الفصل الأول أساسيات الضوء العلم نور

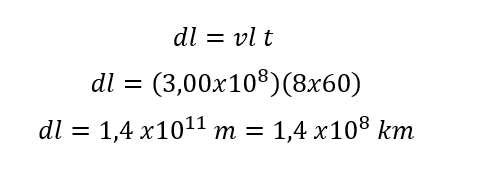
علم الفلك يصل الضوء من الشمس الى الارض في 8 3min اذا كانت سرعة ادعمني دوت كوم

علم الفلك يصل الضوء من الشمس الى الارض في 8 3min اذا كانت سرعة ادعمني دوت كوم

علم الفلك يصل الضوء من الشمس الى الارض في 8 3min اذا كانت سرعة ادعمني دوت كوم

حل أسئلة اختبار مقنن الفصل الأول أساسيات الضوء العلم نور

حل أسئلة اختبار مقنن الفصل الأول أساسيات الضوء العلم نور

اختبار مقنن على الفصل الأول أساسيات الضوء ص 39 المصدر السعودي

اختبار مقنن على الفصل الأول أساسيات الضوء ص 39 المصدر السعودي

حل أسئلة اختبار مقنن الفصل الأول أساسيات الضوء العلم نور

حل أسئلة اختبار مقنن الفصل الأول أساسيات الضوء العلم نور

الفلك كم دقيقة اضافية يستغرق وصول الضوء من الشمس إلى الارض اذا امتلا الفضاء ادعمني دوت كوم

الفلك كم دقيقة اضافية يستغرق وصول الضوء من الشمس إلى الارض اذا امتلا الفضاء ادعمني دوت كوم

فيز102 By Abady Moka Issuu

فيز102 By Abady Moka Issuu

Myfgtkzfl2gp M

Myfgtkzfl2gp M

اختبار مقنن على الفصل الأول أساسيات الضوء ص 39 المصدر السعودي

اختبار مقنن على الفصل الأول أساسيات الضوء ص 39 المصدر السعودي

حل أسئلة اختبار مقنن الفصل الأول أساسيات الضوء العلم نور

حل أسئلة اختبار مقنن الفصل الأول أساسيات الضوء العلم نور

Myfgtkzfl2gp M

Myfgtkzfl2gp M

حل أسئلة اختبار مقنن الفصل الأول أساسيات الضوء العلم نور

حل أسئلة اختبار مقنن الفصل الأول أساسيات الضوء العلم نور

تتحرك مجرة مبتعدة بسرعة 00 ويبدو تردد الضوء الصادر عنها 00 بالنسبة لمراقب ادعمني دوت كوم

تتحرك مجرة مبتعدة بسرعة 00 ويبدو تردد الضوء الصادر عنها 00 بالنسبة لمراقب ادعمني دوت كوم

اختبار مقنن على الفصل الأول أساسيات الضوء ص 39 المصدر السعودي

اختبار مقنن على الفصل الأول أساسيات الضوء ص 39 المصدر السعودي

تناقص دوران المروحة في السؤال السابق من 475rev Min إلى ادعمني دوت كوم

تناقص دوران المروحة في السؤال السابق من 475rev Min إلى ادعمني دوت كوم

حل أسئلة اختبار مقنن الفصل الأول أساسيات الضوء العلم نور

حل أسئلة اختبار مقنن الفصل الأول أساسيات الضوء العلم نور

Source : pinterest.com